近日,bv伟德赵巍胜教授和聂天晓教授团队在室温二维磁性自旋轨道矩领域取得重要进展。团队利用分子束外延方法成功制备了高质量全二维异质结Bi2Te3/Fe3GeTe2,并实现了室温下的自旋轨道矩(SOT)驱动的磁化翻转,SOT效率达到2.69,翻转电流密度为2.2×106A/cm2。其中拓扑绝缘体Bi2Te3不仅提高了磁性层Fe3GeTe2(FGT)的居里温度,还可作为自旋电流源通过界面交换耦合使FGT实现磁化翻转。此工作成功实现了室温下全二维体系的SOT磁化翻转,为实现室温全二维范德华自旋电子器件的应用奠定了基础。2023年8月24日,相关研究成果以“Room temperature energy-efficient spin-orbit torque switching in two-dimensional van der Waals Fe3GeTe2induced by topological insulators”为题在线发表于《自然·通讯》(Nature Communications)期刊。
磁随机存储器(MRAM)因其具有非易失性、高密度和低功耗等优点而成为解决传统半导体存储器性能瓶颈的替代方案。相比自旋转移矩(STT)写入方式,自旋轨道矩(SOT)写入方法不会破坏隧穿层,且可以实现更快的操作速度、更好的耐久性和更高的能效。因此,SOT驱动磁化翻转的写入方式将成为下一代MRAM的主要写入方式。二维磁性材料兼具二维材料高集成度和自旋电子材料低功耗的优点,因此构筑新型的二维SOT-MRAM器件,有望突破“尺寸微缩”和“功耗墙”两大瓶颈,实现更高性能的新型存储器件。
由于维度效应的限制,二维磁性材料难以在较高温度下维持其铁磁性,研究表明,可以通过界面效应等方法将二维磁性材料FGT的居里温度提高到室温以上,因此FGT成为探索二维体系中SOT驱动磁化翻转的理想材料之一。已有研究人员利用Pt作为自旋电流源实现了FGT的SOT驱动磁化翻转,然而其工作温度都低于室温(<200 k)。此外,全范德华异质结构可以提供高自旋透过率从而实现更高的sot效率。因此,迫切需要构建能在室温下实现低功耗sot翻转的全范德华异质结构,以满足未来的二维自旋电子器件的应用。
为了解决这一难题,研究团队利用分子束外延方法成功制备了高质量晶圆级全范德华异质结Bi2Te3/Fe3GeTe2,并通过表征其磁学和电学特性证明了拓扑绝缘体Bi2Te3可以通过邻近效应将磁性层FGT的居里温度提高到室温以上,这为进一步研究全二维体系的室温SOT翻转奠定了基础。

图 1 Bi2Te3、 Fe3GeTe2和异质结构Bi2Te3/Fe3GeTe2的磁学特性和电学特性

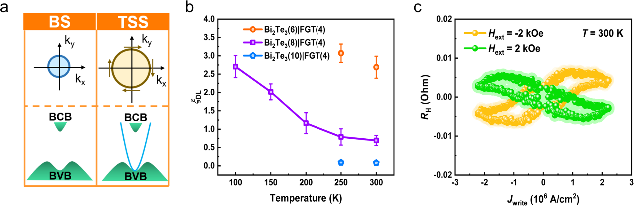
图2Bi2Te3/Fe3GeTe2异质结的SOT效率和室温SOT驱动的磁化翻转
进一步地,基于以上具有室温磁性的全范德华异质结构,研究团队成功实现了室温下电流驱动的SOT翻转,并通过二次谐波测试得到室温下SOT效率值高达0.7,且随着拓扑绝缘体Bi2Te3厚度的减小,进一步提高至2.69。通过温度依赖性实验揭示了该异质结构高的自旋电荷转换效率主要归因于全范德华结构界面高的自旋透过率及非平庸拓扑态。在Bi2Te3/Fe3GeTe2异质结构中实现室温SOT翻转为未来实现室温全二维范德华自旋电子器件奠定了重要基础。
北航bv伟德博士生王海宇、助理教授张婕、加州大学洛杉矶分校吴昊为本论文的第一作者,赵巍胜教授、聂天晓教授为论文共同通讯作者。其他合作者还包括诺贝尔物理学奖得主、巴黎萨克雷大学Albert Fert教授,加州大学洛杉矶分校Kang L. Wang教授等。该工作获得国家重点研发计划、国家自然科学基金等支持。
北航bv伟德赵巍胜教授和聂天晓教授团队瞄准科研前沿方向,长期致力于二维磁性材料及二维自旋电子器件的研究,并取得一系列进展。相关成果发表于《自然·通讯》(Nature Communications)、《先进材料》(Advanced Materials)、《应用物理评论》(Applied Physics Reviews)、《ACS–纳米》(ACS Nano)等国际知名期刊。
论文原文链接:
https://www.nature.com/articles/s41467-023-40714-y
Wang,H., Wu, H., Zhang, J.et al. Room temperature energy-efficient spin-orbit torque switching in two-dimensional van der Waals Fe3GeTe2induced by topological insulators. Nat Commun 14, 5173 (2023).